
La potencia eléctrica suministrada por un receptor es directamente proporcional a la tensión de la alimentación (V) del circuito y a la intensidad de corriente (I) que circule por él.
Donde:
P= Potencia en watt (W)
V= Tensión en volt (V)
I= Intensidad de corriente en ampere (A)
Watt es la unidad de potencia del Sistema Internacional de Unidades, su símbolo es W. Es el equivalente a 1 julio por segundo (1 J/s).
Expresado en unidades utilizadas en electricidad, el Watt es la potencia producida por una diferencia de potencial de 1 voltio y una corriente eléctrica de 1 amperio (1 VA).
La potencia eléctrica de los aparatos eléctricos se expresa en Watt, si son de poca potencia, pero si son de mediana o gran potencia se expresa en kilovatios (kW).
Ejemplos de aplicacion:
1. ¿Cuál es la potencia consumida por un cautín de soldar por el cual circula una corriente de 0,16A (160mA) y está conectado a la red de 220V.
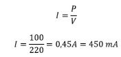
2. ¿Qué corriente circula por una lámpara de 100W, conectada a la red de 220V?
3. Encuentre el voltaje aplicado a una plancha de 1000W, que consume una corriente de 4,55A



